提问,2023年3月8日是什么日子?
答:妇女节
然后呢?
然后……
然后这一天还是美国物理学会的三月会议中的一天,可不要小看这一天,看似平平无奇的一天,却爆出来可能会改变世界,改变人类的物理学进展。
罗彻斯特大学的Dias团队宣称,他们发现了近常压的室温超导体,该超导体是由氢、氮、镥三种元素组成的三元相,该研究团队认为,其在大约10kbar(也就是1GPa,约相当于1万个大气压)下可以实现约294K(也就是约21℃)的室温超导电性。

超导体 | 图源自wiki
这时,就有人要问了,超导是个啥,发现个室温超导为啥这么激动?
1.超导及其应用价值
超导态是材料的一种特殊状态,在超导态中,材料处于零电阻的状态中,初中二年级的物理告诉我们,电阻是材料普遍具有的性质,当电流流经材料时,其内部的晶格、杂质等会对载流子运动产生阻碍,载流子本身携带的能量会被转移到晶格上,宏观上造成焦耳热,电势也会相应下降。
而没有电阻的超导体就完全没有上述问题,电流流经超导体,既不会发热,也不会出现压降,因此电流可以无衰减地在超导体中流动。
很明显,超导体的意义是显而易见的,如果我们的电线都采用超导体,那就不会存在能量衰减。我们现阶段使用的特高压输电技术,其实就是提高输电线的电压,来尽可能降低能量损耗,可如果使用了超导电线,将完全不存在这个问题,将彻底改写整个行业,我们可以直接以市电电压传输电力,完全不需要变电站,我们或许可以直接使用直流电。

我们的特高压输电线,超导出来可能就要改变了 | 图源自网络
但是,由于超导Tc(超导转变温度,指超导体由正常态进入超导态的温度)的限制,这一设想完全无法实现,我们现在发现的绝大部分超导体Tc都在77K(-196℃)以下,这是液氮的沸点,Tc在这之下的超导体大部分时候是使用更加昂贵的液氦制冷来使其进入超导态,只有少部分铜基超导体Tc达到了77K之上,可以使用液氮制冷来使其进入超导态。
即便如此,超导体在我们日常生活中已经有了应用,医院的核磁共振便采用了超导体,这就涉及了超导体的另一重大应用方向,即产生大磁场。

就这玩意,里面有个超导体 | 图源自网络
当我们需要一个很大的磁场时,我们首先想到的是什么?磁铁?不不不,永磁体的磁场远远达不到我们的要求,再回想一下初中二年级的物理知识,没错,通电螺线管!!利用电流,我们也可以得到磁场,更令人振奋的是,磁感应强度与电流强度成正比,也就是说,电流越大,磁场越强。
但大电流就会遇到上文提到的两个问题,焦耳热与压降,大电流会产热,更令人绝望的是焦耳热与电流的平方成正比,因此,电流每增加一分,磁场就会相应增强一分,但产热会按平方增加,最终绝大多数能量都将转化为内能。

目前发现的高温超导体 | 图源自wiki
焦耳热的来源是电阻,只要没有电阻,就可以完全不考虑焦耳热的影响,因此超导体在这里的意义就显而易见了,我们如果利用超导体线材制作线圈,就可以几乎无节制(磁场也可以抑制超导态,这里需要注意产生的磁场不能超过超导体的临界磁场)地提升线圈内的电流强度,进而获得强大的磁场。这就是核磁共振中强大磁性的来源。
除了以上场景,利用两个不同超导体做成的约瑟夫森结也有重要应用价值,我们可以利用它制作SQUID,这个装置是目前最精确的磁场探测装置,在超导量子计算机中也有重要应用。
看到这里,你应该对室温超导的意义有一定认知了,如果我们真的可以发现常压下的室温超导,那将使整个人类社会产生重大改变,我们现有的科技可能面临颠覆,能源问题得到重大缓解,对整个人类都具有重大进步意义。
我们还是简单介绍一下超导体的发现历程及其输运性质,这有利于我们理解Dias的工作。
2.超导的发现及其机理
1911年,昂内斯改进了制冷设备,率先将温度降至液氦沸点之下,在此期间,他发现汞的电阻在4.2K时突然降为零,经过再三确认,他最终确定,这不是实验上的失误或误差,这是汞本征的性质,由此,他打开了超导的大门,汞也是我们发现的第一个超导体,Tc为4.2K。

实际上很多材料都具有超导电性 | 图源自wiki
昂内斯仅仅测量的汞的电阻,这揭示了超导体在电输运上的特征,也就是零电阻。

昂内斯(右一) | 图源自Wiki
后来,1933年,迈斯纳在对进入超导态的锡或铅金属球做磁场分布测量时发现,当材料进入超导态后,其内部的磁场会迅速被排出体外,磁场只在超导体外部存在,超导体展现出完全抗磁性,这就是迈斯纳效应。
后来的研究发现,超导体可以进一步划分为第一类超导体和第二类超导体,第一类超导体展现出完全的抗磁效应,内部完全没有磁场。而第二类超导体则允许磁场在超导体内部产生磁通量子,也就是允许磁场部分地进入超导体。
以上对超导体的研究更多地还停留在对其性质探究,我们实际上也一直在寻找超导的内在机理,探索其本质。
最开始的尝试是伦敦方程,不过这个理论无法揭示穿透深度与外磁场的关系。1950年左右,前苏联科学家金兹堡和朗道提出了解释超导的唯象理论——金兹堡-朗道理论(G-L理论)。该理论建立在朗道二级相变理论的基础上,用序参量描述超导体。该理论成功解释了超导体,上文提到的第一类超导体与第二类超导体就是根据G-L方程求解的界面能的正负判定的。
根据G-L理论,超导体从正常态到超导态的转变是一个二级相变,因此,理论上我们可以在比热的测量中发现其在Tc处有一个跃变,或者叫一个峰。后来这也在实验上被证实。

理想超导体的电与比热性质 | 图源自wiki
看到这里,你应该也发现了,超导的文章特别好写,测一下电阻,测一下磁化率,如果可以的话,再测一下比热,比热即便测不了也不是什么大事,搞完这些就齐活了。
最后还要简单提一下,我们目前解释超导的最好的理论就是BCS理论,这个理论的核心就是电子在与晶格的耦合中会出现电子吸引电子的可能,这样两个电子会结成库珀对,结成库珀对的电子可以看作玻色子,在低温下,发生“凝聚”,能量可以无耗散地在凝聚的库珀对中流动,实现超导态。
但BCS理论也不能解释所有超导态,我们根据BCS理论计算得到麦克米兰极限,即符合BCS理论的超导体Tc不会超过40K,但实际上很多超导体都突破了这一极限,比如铜基超导和铁基超导,这样的超导体被称为高温超导体,也就是说相对于之前20 K以下的超导体,Tc高了很多。
本来还想介绍一下实验中高压的获取,篇幅所限,有机会再聊。之前有一篇文章也讲解了实验室中的高压技术,感兴趣的可以点击这里看一下。
3.新的室温超导
有了上面这些预备知识,我们就可以一起来看一下这篇已经被发表在nature上的文章了。

看到Dias的名字了吗?最后一个
同大部分超导的文章一样,Dias研究团队对样品电输运、磁化率及比热进行了测量。

首先是电阻的测量结果,左图中给出了10、16、20kbar(1、1.6、2.0GPa)下的电阻测量结果,三个电压下电阻都降低到了0,这正是超导体的主要特征之一,需要注意的是,这里1GPa时Tc是最高的,压强越低,Tc越高,是一个令人意外的结果。插图是样品及电极图片。右图则给出了超导态与正常态的V-I曲线。

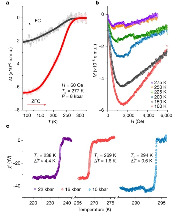
这张图是对磁化率的测量,a图是60Oe(Oe是高斯单位制中表示磁场强弱的单位,可以理解为高斯,即1T=10000Oe)下8kbar(0.8GPa)的磁矩随温度的变化图,可以明显看到其Tc为277K(4℃),b图给出磁矩与外磁场的关系,也符合超导体的特征,c图则是不同压力下的M-T曲线,这里的Tc与电阻上的保持一致,转变温度区间也很小,是非常好的转变。不过在a图中也可以看出来研究团队对原始数据做了一定处理。
这里多提一句,磁化率的测量会明显受样品形状、背底等因素的测量,理论上超导体应该表现出完全抗磁性(即4πχ=-1),但实际测量中测不到完全抗磁性(即4πχ>-1)也是可以理解的。当然Dias的文章中并没有约化,a图中纵轴是磁矩,并非磁化率。

Dias还对比热进行了测量,结果如上图所示,这里给出了10、10.5、20kbar的测量结果,可以看到,三个比热的曲线均能看到超导在比热上的转变,Tc与电阻的测量结果略有区别但完全可以理解,这个结果是合理的。不过该说不说,这个比热的转变并不算明显,尤其是10.5kbar的曲线,峰并不明显,10kbar的转变也尚不如20kbar明显。这三个比热的转变看起来也有些区别,尤其是10kbar和10.5kbar的数据,仅差了0.5kbar,但图像差异却很大。不过考虑是高压下测量的,或许有一些我们不知道的困难吧。

Dias还给出了样品的XRD(X射线衍射)结果,并绘制了晶胞图像,这当然也是必要的。
a图即XRD结果,他们采用了Mo靶,红线是理论计算的结果,圆圈是实际测量的结果,蓝线是二者的误差,看得出来,测量与计算的结果区别很小,样品可以说是一个纯相,Dias团队计算样品占比为92.25%,杂质为LuN1−δHε和Lu2O3。
b图则是他们绘制的晶胞图,白色原子是氢,绿色的是镥,粉色的是不同位点的氢原子,他们给出的样品化学式是LuH3−δNε,61kbar时空间群是Fm-3m和Immm,但Dias认为超导相空间群是前者。

最后是该样品的超导相图(原文这是第一张图),Tc随着压强升高而减小,这是出乎大家意料之处,后面或许也将成为研究的重点,b图是样片形貌随着压强的变化,常压下是蓝色的,随着压强升高逐渐变为粉红,最终呈现红色,样品的颜色还是非常喜庆的。
篇幅有限,支撑材料就不带大家一起看了,感兴趣的同学可以在nature官网查看。
从文章来看,这项工作无疑是突破性的,相关证据也很充足,如果能重复出来,搞不好未来能发诺奖。但物理学的研究终究不是一家之言,任何科学研究都应该经得起验证,这个也不例外,这项工作势必要经过行业内各个研究组的重复,如果经过多次重复之后,确定该结果的正确性,那将是划时代的工作。我们今年诺奖预测也就有底气了。
这次的工作号称是近环境下的室温超导,通过上文,大家也能看到,Tc最高处的压强为1Gpa,大约1万个大气压,虽然还是很大,但相比于之前的270万个大气压,已经小了很多了,重复的难度也小了很多,相信已经有很多研究组已经开始着手重复实验了。
不过目前很多人对这个结果持观望态度,一方面是因为重复实验结果还没出来,另一方面或许是因为Dias之前的“前科”。
其实,在这之前,Dias就已经有了两个突破性的进展。一个是金属氢,另一个就是上一个室温超导。
Dias首先宣称自己在高压下合成了金属氢,相关文章发表在science上,但其他研究组没有重复出来,而他自己后来宣称,由于保存不当,保存金属氢的装置压力泄露,最终金属氢因为压力不足汽化消失了。后来,Dias也没有再合成金属氢。由此,金属氢可以说是成为了一桩“悬案”。
上次的氢化物室温超导也是由Dias合成的,其实现的压强高达270GPa,相关结果发表在nature上,但后续多个研究组试图重复该实验未果,并由于Dias未披露原始数据,多人认为其在磁化率的数据处理中使用了错误的方法,得到了并不能算正确的结论。因此在大家的一致抗议下,最终该文章被从nature上撤稿,当然,Dias研究团队所有成员都对该撤稿行为表示抗议,不过最终没有挽回。
正是因为这两起事件,领域内许多科学家对Dias研究团队其实持不信任态度,毕竟他们的数据结果总是比别人漂亮许多。但这次Dias给出很多原始数据,可以说全面又丰富,况且这次的成果只需要1GPa的压强,重复起来相对简单,想必我们很快就可以对该成果给出一个定论了,让我们拭目以待吧。(参考资料:罗会仟,《超导“小时代”:超导的前世、今生和未来》,清华大学出版社,2022.)






公安备案号:32010202010067