新冠病毒可以通过气溶胶传播,不过其通常发生在密闭空间中。然而,最新的研究显示“握手楼”之间也可能存在气溶胶传播。
所谓“握手楼”,是形容楼与楼之间的间距近到打开窗可以握手的楼房。最新一期《中疾控周报》(CDC WEEKLY)研究揭示,两个非常接近的建筑物之间能够形成相对封闭的空间,气溶胶传播还主要受空调的开与关、门窗的开与关等气流布局的影响。
研究者提示,在某些条件下,“握手楼”里的集中隔离、居家隔离存在新冠病毒气溶胶传播风险。研究者建议,应注意气流分布对隔离病房气溶胶扩散的影响,并加强隔离场所消毒。
以上内容来自《来自广东省广州市的特殊建筑布局中新冠气溶胶传播模拟研究》(Field Simulation of Aerosol Transmission of SARS-CoV-2 in a Special Building Layout — Guangdong Province, China, 2021),研究团队包括中疾控、广州市疾控中心、广东省疾控中心等。
此前,许多研究证实了新冠病毒可以通过气溶胶传播,但传播通常发生在密闭空间中。在2021年5月发生在广东省广州市的疫情中,指示病例(index case)和一名密接者(后确诊感染)乘坐国际航班抵达。
指示病例,指在一起疫情中最早发现和报告的病例。指示病例是流行病暴发调查中最重要指标之一,为追踪疫情传播链、分析疫情暴发原因和提出控制措施等提供最直接和最关键的线索和提示。
指示病例和确诊前的密接病例同时住在医院的2个不同建筑内。由于两栋建筑之间有天花板,两栋建筑由彼此靠近,形成了一个相对封闭的空间;这种布局中的建筑有时被形象地称为“握手楼”,因为它们靠得非常接近,往往相隔大约50厘米左右。

流行病学调查和病毒基因测序表明,两人的新冠病毒基因序列高度同源,他们之间存在时空交叉可能,可能是气溶胶传播。研究者使用了与新冠病类似的毒刺突状假病毒,这些假病毒是有相似空气动力学特性的荧光微球,用来在现场实验模拟研究新冠病毒的气溶胶的传播路径和影响因素。
结果表明,从密接者住处和指示病例住处之前有明显的气溶胶传播路径,其传播主要受空调的开与关、门窗的开与关等气流布局影响。研究者表示,未来应更加关注近距离建筑物之间的气溶胶传播风险以及隔离病房空气分布布局对气溶胶扩散的影响。
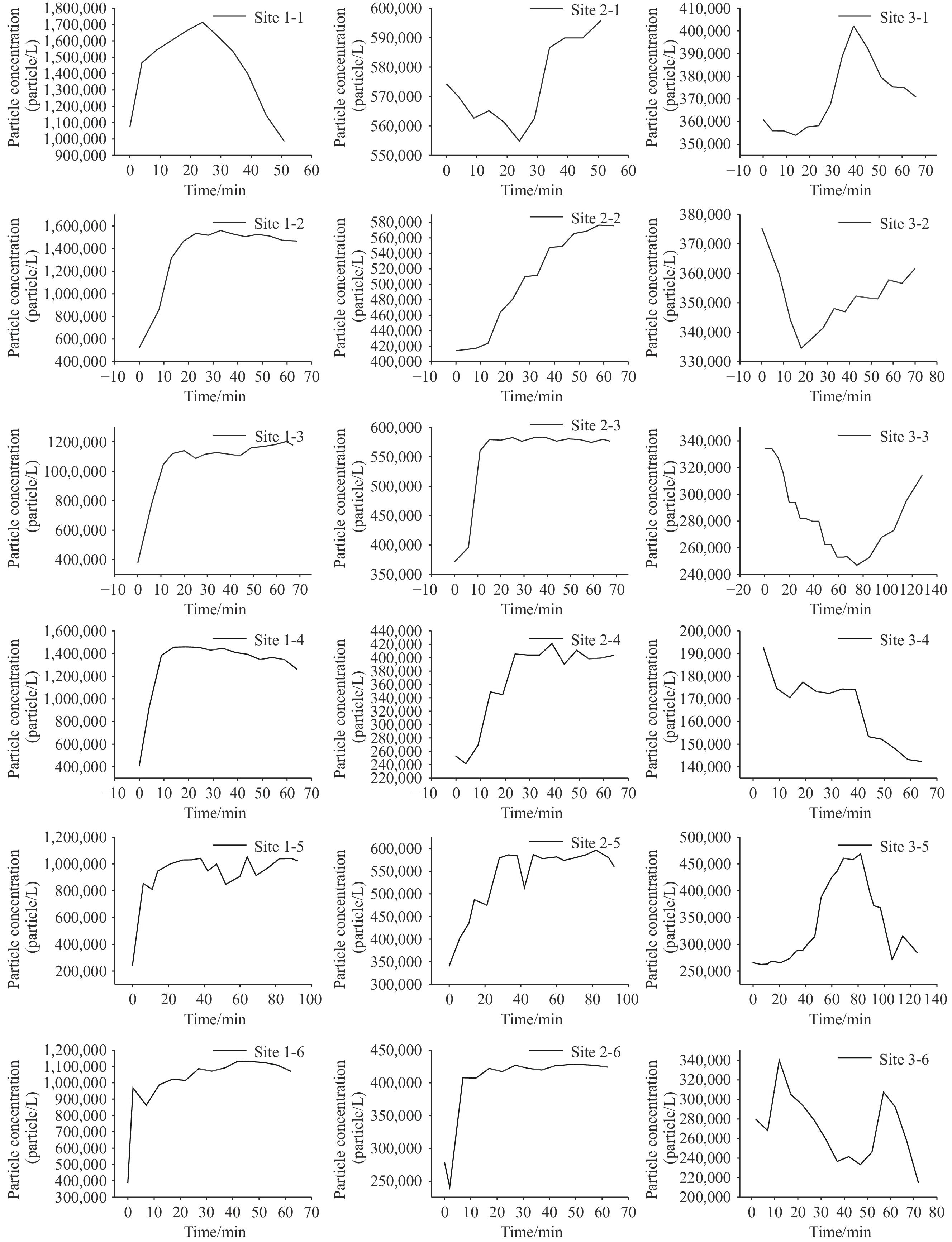
研究者在医院中选择了6个地点进行现场实验。
地点1和地点2位于发热门诊大楼内。地点1为指示病例下榻的隔离病房;地点2是有窗户的走廊,可以通向一个封闭的空间,每一扇窗户都对着发热门诊大楼内相应房间的窗户;地点3-6位于发热门诊大楼对面的常规门诊大楼内。
地点3是中医门诊处,指示病例在此就诊,当时窗是开的;地点4是一个窗口打开的病人等候区;地点5和地点6分别是医生办公室和咨询室,窗户紧闭。
考虑气流布局的影响,研究者设置了6个模拟场景,分别是1号病房空调的开与关(A)、1号病房的房门开与关(B)、2号走廊的窗户开与关(C)。
研究者选择了与新冠病毒拥有相似刺突结构的假病毒模型,一种具有相似空气动力学特性的聚苯乙烯荧光微球。病房1,研究者使用雾化器模拟感染者的呼吸1-1.5小时(荧光微球的呼气量为10的12次方到10的13次方/小时)、咳嗽或打喷嚏(每次咳嗽或打喷嚏时荧光微球呼出数量为10的11次方到10的12次方)的情形。
同时,该研究每10分钟在6个地点监测不同粒径的浓度和空气条件。PM10采样器和生物气溶胶采样器用于采集气溶胶样品,而沉淀物样品用棉签采集。户外实验结束后,研究者在实验室用荧光显微镜观察不同样品中的黄色和绿色荧光颗粒,并直接从户外读取的数据进行分析。
在建筑外布局上,二楼为发热门诊楼层,五层楼为常规门诊楼层。两座建筑物的外墙之间的距离为51厘米。走廊窗户与对面中医诊所窗户距离为77厘米。二楼的隔离区和对面的中医诊所通过两栋建筑之间的外部天花板形成了一个相对封闭的空间。
在建筑物的内部房间布局中,地点1-6是试验地点。三角形(a-c)是影响气流分布的因素:(a)空调,(b)门;(c)窗口。红点是雾化器所在的位置。风扇符号显示空调已打开。绿色颗粒是荧光微球,模拟指示病例呼出的病毒气溶胶和传播扩散路径。
模拟实验共获得现场数据7411个,样品304个,其中擦拭物体表面的棉签样品210个,气溶胶液体样品54个,气溶胶过滤膜样品40个。
病区1采用雾化荧光微球模拟感染者呼吸,通过气溶胶颗粒浓度变化观察地点2走廊及地点3对面房间的扩散情况,结果如图2所示。在病区1,0.3µm的颗粒浓度显著增加并在上升到最高水平后保持稳定,0.5µm、1µm、2.5µm、5µm和10µm的颗粒浓度也保持稳定。荧光微球雾化后,走廊内的粒子浓度立即开始上升,并在达到最高值后保持不变。与病房1的变化相比,地点3即对面房间的颗粒浓度的峰值时间相对延迟。荧光微球雾化后20-40分钟,地点3即对面房间的粒子浓度开始上升。监测期间仅检测到峰值浓度,未检测到高浓度的平台期。在某些情况下,地点3即对面房间的颗粒浓度没有明显变化。同时,在上述3个地点采集的气溶胶过滤膜样品、气溶胶液体样品和拭子样品中都检测到了荧光微球(图3)。结果表明,从病房1到走廊再到对面房间,整个气溶胶传输链都被证明存在。

研究者通过6种不同的场景评估了(A)空调、(B)门和(C)窗户对气溶胶传播的影响。结果表明,在空调、门窗全部关闭的情况下,对1号病区的荧光微球雾化后,3号房的空气过滤膜样品和液体样品中均未发现荧光微球。研究表明,当气流较差时,荧光微球不易扩散到3号房间。当空调、门窗都打开时,荧光微球迅速扩散到3号房间。只要打开空调,气流在病房内流通,即使门窗关闭,走廊和3号房间的颗粒浓度也缓慢上升。一旦一扇门打开,走廊里的颗粒物可以在5分钟内升到最高浓度,但3号房间的颗粒物浓度变化影响较小。一旦打开窗户,即使门是关上的,3号房间的颗粒浓度也会迅速而显著地升高。

此外,在空调开启的情况下,研究了门窗和人员移动对气溶胶传播到3号房间附近的5号办公室和6号房间的影响。在实验过程中,人们每10分钟离开3号房间,进入等候区和6号房间。结果表明,在等候区、5号办公室和6号房间关闭窗口时,在气溶胶过滤膜样品和液体样品中均未检测到荧光微球。一旦打开窗户,等候区和6号房间的样品中就能检测到荧光微球,但5号办公室没有检测到荧光微球,因为5号办公室没有人员进出。可以发现,“握手楼”的气溶胶传播的风险在楼对面的窗户关闭时是低的。






公安备案号:32010202010067