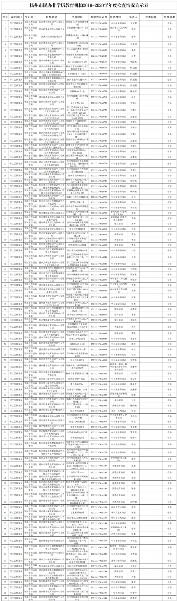
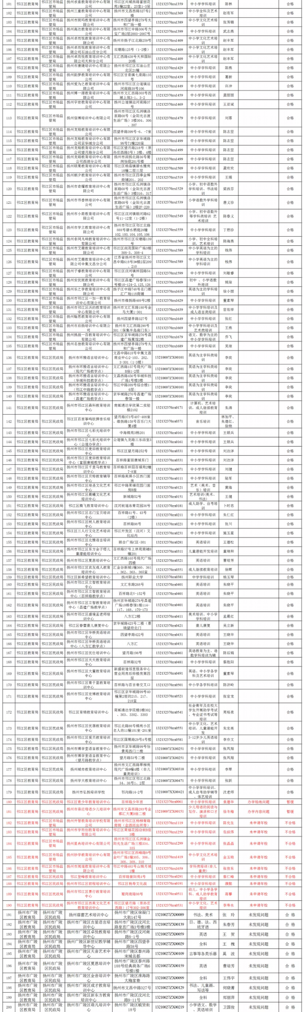
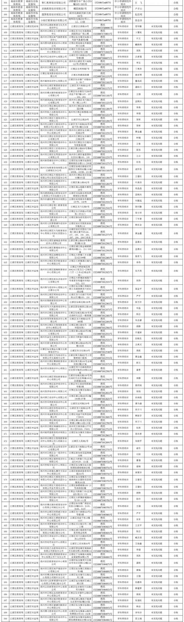
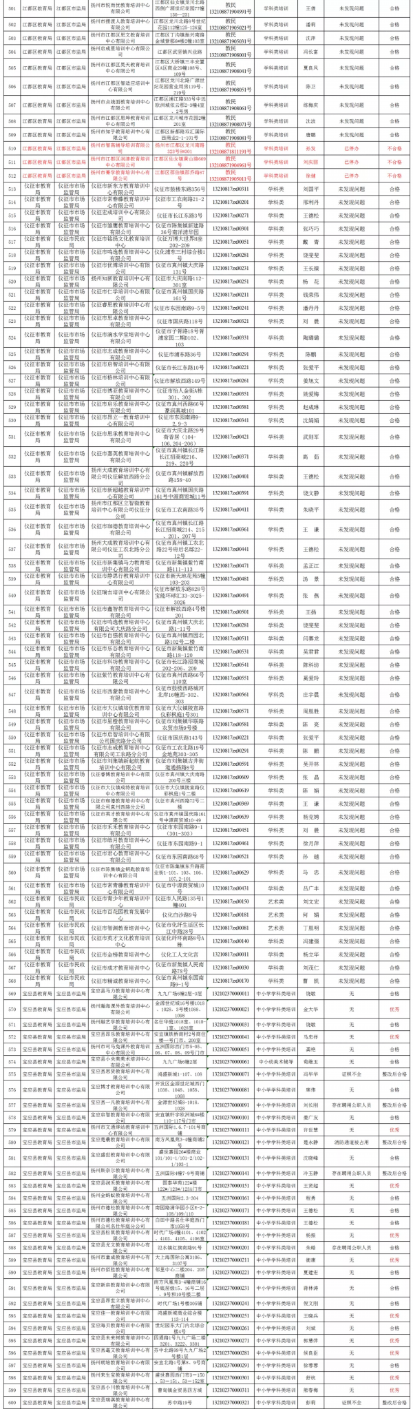
今年,根据省教育厅部署,因新冠疫情等原因2019-2020年学年度的校外培训机构年检延迟至年底,各县级教育主管部门经过材料审核、视频检查和现场抽查,并结合机构办学质态,现将全市校外培训机构年检结果予以公示。









在公布年检结果的同时,扬州市教育局发布重要提醒:
一要查看经营资质。面向中小学生开展的学科类培训机构必须持有《中华人民共和国办学许可证》,并在办学场所醒目处予以公示。
二要辨别广告宣传。机构的招生广告用语应符合《广告法》相关规定,当前,招生宣传的发布形式除了传统的媒体广告、招生简章外,更多的使用自有网站、微信公众号、微信群、QQ群等互联网载体,市民务必要关注媒体发布的广告,务必仔细甄别内容是否存在违规、虚假、夸大、不科学的表述、不负责任的许诺。家长可以通过查询机构经营信用信息、营业场所租赁情况等了解机构运营状况,多家对比挑选。
三要了解老师资历。任中小学语数英物化生等文化课程的培训教师应取得相应学科的教师资格证,家长可以在文化类校外培训机构的教学场所公示栏中进行查询。根据“学校在职教师不允许到校外培训机构兼职”之规定,家长决不能轻信校外培训机构所谓的“名师”。
四要保存合同发票。家长应主动要求与机构签订正规的培训合同协议(纸质或电子均可),在缴费前,应仔细查看条款内容,特别注意违约条款、免责条款等。不轻信机构特别是销售人员的口头承诺,应将具体要求全部落实到合同协议当中,特别是收费金额、收退费方式、优惠赠送等条款,切实保障自身合法权益。如果遇到权益受损问题,要及时收集好证据,与机构协商解决。如果协商不成,可向当地市场监管部门反映,或12315电话求助,还可通过申请仲裁或到法院起诉等方式,依法维护自身合法权益。
不要去“无证无照”非法机构。如发现举办面向中小学生的文化学科培训的“无证无照” 非法机构或者从事“放心班”服务经营的有照服务机构存在超范围经营存在面向中小学生的文化课辅导的违规情况,应及时向当地教育部门反映查处。如发现其他非文化类“无证无照”经营的机构应向当时市场监督或综合执法部门投诉举报。
不要去存在安全隐患的机构。切勿选择开设在居民住宅、厂房或者房屋质量、消防设施设备存在安全隐患的机构,有的培训场所与居住场所合用,设置楼层不符合规范,安全出口和疏散楼梯不足,存在较多安全隐患。家长与孩子应提高安全意识,培训前明确逃生通道,注意乘坐电梯安全和交通安全。
不要一次性缴纳长期费用。根据价格主管部门相关规定:面向中小学生的校外培训机构应当严格执行国家关于财务与资产管理的规定,收费时段与教学安排应协调一致,不得一次性收取时间跨度超过3个月的费用,不得在公示的收费项目和标准外收取其他费用,不得以任何名义向培训对象摊派费用或者强行集资。少数培训机构以公司市场化运作的名义,采取“预收返还”的方式收费,一次性收取十万甚至上百万的费用,以其利息来冲抵培训费,这种收费方式不仅属严重违规,而且有非法集资的嫌疑;也有少数培训机构以高折扣为诱惑一次性收取数年的培训费,市民不要被打折所迷惑,以确保自身利益。请家长坚决不要一次性预缴课程时间跨度超过3个月的费用。
(来源:扬州发布 编辑:陈茜)






公安备案号:32010202010067