刚刚,南京再挂出8幅纯租赁用地,均来自江北新区。
根据《中华人民共和国土地管理法》、《招标拍卖挂牌出让国有建设用地使用权规定》(国土资源部令第39号)等法律、法规规定,经南京市江北新区管委会批准,南京市江北新区管理委员会规划与国土局对下列建设用地使用权进行公开出让,地块范围内原土地使用权同时收回。现就有关出让事项公告如下:
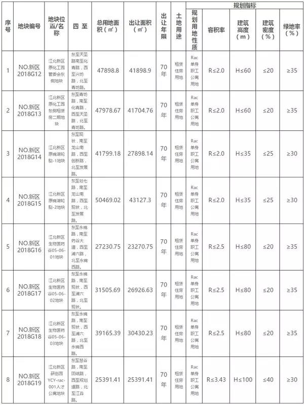
一、8幅出让地块基本情况
二、出让价格
三、出让条件
NO.新区2018G12: 地块要求装配式建筑比例为100%,单体预制装配率≥50%, 100%实行成品住房交付,无容积率奖励。
NO.新区2018G13: 地块要求装配式建筑比例为100%,单体预制装配率≥50%, 100%实行成品住房交付,无容积率奖励。
NO.新区2018G14: 地块要求装配式建筑比例为100%,单体预制装配率≥50%, 100%实行成品住房交付,无容积率奖励。
NO.新区2018G15: 地块要求装配式建筑比例为100%,单体预制装配率≥50%, 100%实行成品住房交付,无容积率奖励。
NO.新区2018G16: 地块要求装配式建筑比例为100%,单体预制装配率≥50%, 100%实行成品住房交付,无容积率奖励。
NO.新区2018G17: 地块要求装配式建筑比例为100%,单体预制装配率≥50%, 100%实行成品住房交付,无容积率奖励。
NO.新区2018G18: 地块要求装配式建筑比例为100%,单体预制装配率≥50%, 100%实行成品住房交付,无容积率奖励。
以上地块的具体出让条件详见该地块挂牌出让文件。
四、交地条件
土地交付条件:净地出让,即地块范围内房屋及建、构筑物拆至室内地坪,其余维持自然现状。出让范围内杆(高压)管线等由受让人自行处置。外部条件(道路、水、电、气等)均以现状为准。
五、竞买条件
1、本公告出让地块为“租赁住房”项目,为顺利开展租赁住房试点工作,竞买人须为江北新区所属国有全资公司,竞得土地后可成立全资住房租赁公司进行开发建设和租赁管理,按规定办理相关开发资质和住房租赁业务,接受江北新区主管部门的监管。可以独立竞买,也可以联合竞买,联合竞买的联合体各方须同时具备地块竞买条件。
2、竞得人可就该地块开发成立全资项目公司,需变更受让主体为项目公司的,应在出让成交后3个月内提交符合变更主体资格条件的书面申请。逾期未申请的,按土地转让办理。竞得人可先与出让人签订《出让合同》,然后申请变更受让人;竞得人也可申请由项目公司与出让人签订出让合同。变更受让人不影响包括土地价款支付等合同条款的履行。
六、竞价时间
1、南京市江北新区国有建设用地使用权公开出让实施网上交易。有意竞买人可于2018年11月16日起登陆网上交易系统申领出让文件。竞买有资格审查要求的地块请携带相关资料至南京市江北新区药谷大道9号1709室进行审核。
2、有意竞买人请于2018年11月24日至2018年12月4日16:00(报名截止时间),在工作日9:00至18:00期间可登陆南京土地市场网“南京市国有建设用地使用权网上交易系统”进行网上备案、报名、报价,自由报价截止时间到2018年12月4日18:00,竞买人均可报价一次。
3、同一出让地块有两个或两个以上竞买人,且已有有效报价的,转入网上限时竞价,限时竞价时间为2018年12月5日上午9:00开始,以交易系统显示的时间为准。各地块限时竞价开始时间分别为:

七、竞得人确定
在挂牌时间截止(2018年12月5日9:00)时,地块无人报名,地块流标;地块只有一家竞买人报名,并有不低于起始价的有效报价,该地块在挂牌时间截止时即成交;两个或两个以上竞买人竞买同一地块,竞价最高者为竞得人。
八、成交手续
竞得人竞买成功后,须在网上交易系统下载“南京市国有建设用地使用权公开出让成交通知书”,持“成交通知书”及报名资料原件及复印件在规定时间内与出让人办理成交确认手续。
九、其他
1、竞买人应认真阅读地块公开出让文件,全面了解地块情况及出让要求,如需进一步了解地块报名、竞价等情况可通过电话咨询。
2、本次国有建设用地使用权公开出让由南京市土地矿产市场管理中心具体承办。
3、南京市江北新区管理委员会规划与国土局对本《公告》有解释权。








公安备案号:32010202010067
我要说两句